热量表厂家就温度自控装置的户用热量表流量计的设计
摘要:设计了一种在超声波热量表中用的测量管道。由于超声波测量管体、传感器安装孔、传感器穿线管和安装座 在焊接为一体时,难以保证各部件的相互尺寸、位置精度要求,所以设计提出将以上结构一次铸造成型,并在实现一体化的基础上加装双金属测温器。由于采用一次 铸造成型,所以精度高,便于大批量生产;由于加了双金属片测温器,及由其控制伸缩改变热水流量的方形板,可自动调控室内温度,可广泛用于取暖管的控制。
关键词:热量表;超声波流量计;频率法;温控
1 热量表计量原理
住宅集中供暖实行供热改革、分户热量计量收费是采暖节能的一项重要措施。实现热量表的国产化,是实现热量计量收费的关键。热量表是用来测量及显 示流经热交换系统所释放或吸收热量的仪表。当水流经热量表时,根据流量计给出的流量和配对温度传感器给出的供回水的温差及水流经的时间,即可算出热能系统 释放或吸收的热量。[1]其计算公式为:

式中:Q—热交换系统释放或吸收的热量,J 或W·h;qm—流经热量表的水的质量流量,kg/h;qv—流经热量表的水的体积流量,m3/h; ρ—流经热量表的水的密度,kg/m3;△h—在热交换系统的入口和出口温度下,水的焓值差,J/kg; t—时间,h 。
其中流量计测量的是体积流量,需要换算成适合热量表积算的质量流量。由公式(1)可以看出,热水体积流量和供回水温差都是影响热量表测量精度的 因素。目前普遍采用的Ptl000 铂电阻配对温度传感器测温技术已经很成熟,很容易做到0.1℃的分辨率。相比之下,流量的计量准确程度对热量表的精度等级的影响就更为突出。而国产热量表 在流量计等方面仍然还是薄弱的环节。
2 流量计的种类
流量计根据其测量原理的不同分为电磁式、机械式、超声波式等多种形式。其中电磁式流量计对水流的导电率有要求,需要电压为220V 的交流电源供电,耗电量大,并对环境的电磁干扰敏感。而机械式流量计虽然量程较宽、耗电少、价格较便宜,但对水质要求高,微量的铁屑或细砂都会急剧降低测 量精度直至在短期内损坏。在丹麦,人们非常重视供热水质,但机械式流量计也只能运行5 年左右就要更换新的流量计。而供热系统水质普遍较差又是我国的现实情况,所以热量表流量计的研发、设计必须充分考虑这一国情。
超声波式流量计的测量部分为一直管腔,没有任何叶轮或活动部件,不存在堵塞、磨损问题;超声波探头的材料为非磁性材料,表面不锈钢板保护,不存 在吸引铁锈等问题,对水质要求较低,不易损坏,使用寿命长,从根本上解决了机械式热量表在使用过程中出现的问题。随着电子技术水平的提高,普通超声波流量 计精度水平也在逐渐提高,且超声波流量计测量比例宽,基本上没有上限要求。
超声波热量表的长寿命特性必然会将供热改革所导致的社会成本降至最低。因此,无论从经济的角度,还是从社会的角度,超声波热量表都为我国的供热 改革、分户计量提供了一种可持续发展的解决方案,从热量表的历史发展来看,超声波热量表必然取代机械式热量表成为供热计量的主打产品。
3 超声波流量计的原理
超声波流量计采用的信号检测方法有时差法、相位差法、频差法、多普勒法、相关法、波束偏移法和噪声法。[2]下面先讨论目前超声波流量计中最为常用的时差法测量的原理。
超声波流量计由超声波探头、电子线路及流量显示和累积系统三部分组成。时差法的工作原理是,在被测管道上游和下游分别安装超声波探头,两个探头 交替发射和接收超声波信号,如图(1)所示。通过检测超声波在介质中的顺流和逆流传播时间差来间接测量流体的流速,再通过流速来计算流量,经电子线路放大 并转换为代表流量的电信号供给显示和积算仪表进行显示和积算,这样就实现了流量的检测和显示。

如图1 所示,中超声波探头1 为顺流换能器,超声波探头2 为逆流换能器,两只换能器分别安装在流体管线的两侧并相距一定距离,管线的内直径为D,超声波行走的路径长度为L,流体的流速为v,超声波的传播方向与流 体的流动方向夹角为θ。超声波在静止流体中的声速为c,顺流速度为v1,逆流速度为v2。当管道内的流体以流速流动时,超声波顺流速度v1,逆流速度v2 分别为:

超声波顺流传播时间比逆流传播所用的时间短,其时间差可用下式表示:


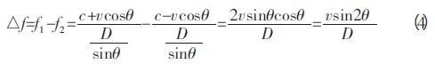
由公式(2)(3)可知,流体的流量qv及流速v 都与时间差△t成正比。但流体的流量qv与声速c 有关,而声速c 一般会随传播介质的温度变化而变化,造成流量测量的误差。如果能将所测超声波顺流传播时间t1 和逆流传播时间t2 的差值转换为超声波脉冲的循环频率之差来反应流量的大小,即可将声速c 的影响因素去掉,见公式(4)。

由以上两种方法比较分析可见,对于热量表中的流量计采用频差法时的测量精度会比采用时差法的测量精度高。测量频率的方法有多种,其中电子计数器测量频率就具有精度高、使用方便、测量迅速,以及便于实现测量过程自动化等优点。
4 专利型带有温度自控装置的超声热量表用测量管
目前,国内现有管道使用的超声热量表用测量管,一般是由测量管体、转换器安装座、传感器安装孔、传感器穿线管和连接法兰盘构成,传感器安装孔设 置在测量管体的侧壁上,与测量管体的内腔相连通,传感器穿线管分别与传感器安装孔、转换器安装座相连通,连接法兰盘设在测量管体的两端,用以与管道相连 接。这种超声热量表用测量管在使用中存在以下不足:一是测量管体、传感器安装孔、传感器穿线管和转换器安装座焊接为一体,焊接变形大,难以保证各部件的相 互尺寸、位置精度要求;二是无温度自控装置,调节温度需人工通过流量阀调节,费时费力。

为改进以上不足,特设计以下超声热量表用测量管,并已成功申请国家专利。如图2 所示。管道结构仍如普通管道,其特征在于测量管体1、转换器安装座2、传感器安装孔3、传感器穿线管4和连接法兰盘5 一次铸造连接为一整体,在测量管体的一端设一段纵截面为正方形的管道8,在纵截面为正方形的管道的上侧壁上设纵截面为正方形的箱体9,纵截面为正方形的箱 体的内口与纵截面为正方形的管道内腔相连通,且边长一致,在纵截面为正方形的箱体内设双金属测温器6,双金属测温器的外端通过转动轴固定在纵截面为正方形 的箱体的外端盖10 的内壁上,在双金属测温器的内端通过相应的转轴固定上方形板7,方形板的纵向宽度与纵截面为正方形的管道的内腔纵向宽度一致。
当温度升高时,双金属片测温器可根据温度的升高而逐步伸展,伸展时,将方形板推入纵截面为正方形的管道内,使纵截面为正方形的管到的内腔截面减 小,从而使流过测量管体内的热水流量减小,反之,当温度降低时,双金属片测温器卷曲,带动方形板缩入纵截面为正方形的箱体内,纵截面为正方形的管到的内腔 截面增大,从而使流过测量管体内的热水流量加大,使室内温度升高,从而达到自动控制室温的目的,由于双金属片测温器的端部均为转动连接,所以,双金属片测 温器的安装在离开测量管体的纵截面为正方形的箱体内,主要测量的是室内温度。双金属测温器6 由两个半圆形金属片通过铰接轴相连接成“S”形,在纵截面为正方形的箱体9与其外端盖10 之间设有密封垫片11,并用螺钉12 固定。上述中的方形板7 的厚度与纵截面为正方形的管道8 的内腔轴向宽度一致,方形板的表面光滑,具有一定的密封性。
5 结束语
随着电子技术的迅速发展,各种集成芯片产品越来越多,超声波流量计的性能越来越完善,而价格也随之大幅下降,这些都将为各种超声波流量计热量表 的发展提供十分有力的硬件环境。相信在不久的将来,超声波流量计热量表的品种会更加多元化,性能也将越来越趋于完善,价格也趋于大众化,使热量的分户计量 能方便的推广使用。
关于产品选型、材料获取、商务技术合作,请随时与我们联系