热量表分量检定装置不确定度分析与评定
随着工业企业计量的发展,与人民生活紧密相关的水、电、气等能源计量已经逐渐被人们所重视。自从建设部第76号令《民用建筑节能管理规定》关于供热计量收费颁布实施以来,热量计量又成为人们普遍关注的对象,因此也涌现出了许多热量表生产企业。2001年6月国家最新颁布了《热量表》城镇建设行业标准CJ128—2000。2002年3月国家质量监督检验检疫总局颁布了JJG225—2001《热能表国家计量检定规程》,使热量表的设计规范、技术要求及质量保证有了依据。1999年8月国务院办公厅国发[1999] 72号文明确要求热量表安装前应进行首次强制检定,在这种情况下,实际测试中热量表的计量性能用什么装置检定成为大家关注的热点。生产厂家、供热部门、计量部门急需一套检定热量表准确度高、效率高、可靠性强的装置,对此不少厂家及计量部门都在进行着有益的探索。据调查,目前许多检定装置都是采用的分量检定法。在此,我们主要对JJG225—2001《热能表国家计量检定规程》中分量检定装置不 确定度的分析评定进行初步探讨。
1 热量表检定装置工作原理
装置共由三部分组成: (1)流量部分; (2)温度部分; (3)计算器部分。
(1)流量部分
主要是由微机、恒温水槽、循环水箱、电子秤、标准量器、水泵、供热水管线、试验管段、流量调节阀、电控换向阀、标准流量计,控制台及相应的台架、水盘、安全罩等组成,其原理见图1。

该装置的工作原理简述如下:将水箱内热水调到设定水温后,水泵将热水送入供水管道,经截止阀、标准表组、直管段、电控三通阀将调准后的流量切换至被测表前直管段,同时微机开始计时、计数。当达到预定或设定的时间时,水流被电动三通阀自动切换到另一排空回流的管道中,同时计时、计数停止,由此可由微机直接计算出流量值。根据流量值、相应的时间值和被检表的计量脉冲及恒温水槽提供的标准供回水温差值等数据,计算得出热能表的流量值。
(2)温度部分
温度电阻的测量方法是把被测的温度电阻与二等标准铂电阻一起置于恒温水槽中,在不同的温度点用六位半多用表分别测量二等标准铂电阻和被测温度电阻的阻值,把测到的数据输入计算机中计算出二等标准铂电阻及被测温度电阻所对应的温度值,最后得出被测温度电阻的误差,见图2。

(3)计算器部分
计算器的检定是采用模拟信号输入的方式,用脉冲发生器和电阻箱模拟流量脉冲数、进水温度电阻值、出水温度电阻值输入到计算器,记录计算器得到的累积热量值,并将数据输入到计算机中进行误差计算,见图3。

2 检定装置主要技术指标
(1)流量范围: 0·05~5·0m3/h
(2)工作压力: 0·6MPa
(3)测试口径: DN15~DN20
(4)流体水温:室温~90℃
(5)恒温水槽: 6℃~98℃
(6)恒温水槽精度等级: 2等(铂电阻)
(7)被测表脉冲技术误差:±1
(8)时间设定范围: 0·01~999·99s
(9)时间测量精度: 1×10-4
(10)标准表系数设定: 1~999·99
(11)标准表显示范围: 0~99999·9
(12)装置准确度等级: 0·5%
3 不确定度分析评定
3·1 流量传感器部分
(1)测量方法
该标准装置是采用质量法,用台秤测出一定时间内通过热量表的质量流量值。
(2)建立数学模型

(3)测量不确定度分量及评定
①由电子台秤引入的流经热量表中载热液体的质量流量的标准不确定度0~150kg电子台秤的最小分度值为d=50g,以流经热量表中载热液体的最小质量m=50kg,计算来自电子台秤本身的B类不确定度为:

因为电子台秤和标准砝码两个不确定度分量彼此无关,所以流经热量表中载热液体的质量流量的标准不确定度为:

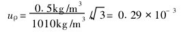
(2)由密度计引入的B类标准不确定度
![]()
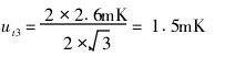
(3)由计时器引入的B类标准不确定度
![]()
(4)合成标准不确定度

(5)扩展不确定度
取包含因子k=2,则有:
Uq=2u=2×0·21%=0·42%
流量传感器部分的扩展不确定度小于2·0级热量表最大允许误差的1/3,符合要求。
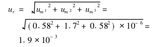
3·2 温度传感器部分
(1)装置构成
温度传感器检定装置由标准浴槽、二等标准铂热电阻和五位半万用数字表作为标准。计算机自动采集标准热电阻及被检热电阻数据。
(2)装置不确定度分析
各项引入误差,其扩展不确定度包含因子均取2。
①由标准铂热电阻引入的最大标准不确定度

②标准浴槽温场不均匀性引入的标准不确定度
![]()
③电测设备误差引入的标准不确定度
此处包含了标准热电阻与被检热电阻二次测量引入的误差

自热效应引入的标准不确定度

相对扩展不确定度取热水温度80℃,即T=353K,取包含因子k=2,得相对扩展不确定度为:
![]()
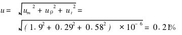
3·3 计算器检定部分
(1)装置组成
计算器检定部分由标准电阻箱、流量标准信号源和多用数字表等组成。主要用于分体式热量表计算器的检定。
(2)装置不确定度分析
①电测设备误差引入的标准不确定度为:
![]()
②热量系数查表误差:

③相对扩展不确定度:
![]()
3·4 结论
通过以上分析可以看出,流量、温度及计算器三个部分的不确定度分别为0·42%、0·003%和0·15%,均能满足2·0级热量表检定准确度要求。
4 存在问题与改进措施
(1)热量表的分量检定法,由于流量、温度、计算器三部分的误差和不确定度分别计算,而最终的热量值则是根据各部分的测量数据合成,而在热量表实际运行过程中,三部分是同时进行,这样势必会影响测量精度。尤其是流量测量部分,由电子台秤引入的标准不确定度较大,可以采用精度较高的衡器称量设备进行测量,降低流量传感器的不确定程度。
(2) JJG225—2001《热能表》规定,对于流量检定,如果提供了型式批准证书及可说明室温下传感器的对比性能的试验报告,可在室温下进行检定。在生产过程中,多数热量表流量部分都是在室温下检定的,这时温差系数也会影响仪表精度。因此,在流量检定中,必须将室温下流量传感器的性能数据进行对比和修正,以减小流量温差影响。
5 结束语
热量表的准确性与否关系到千家万户的切身利益,根据国家出台的有关政策,不久将普遍实现采暖热量计量。目前,我省在德州、威海等地已经开始试点。因此,也相继涌现出许多热量表的生产厂家。而采用什么装置进行检验,将成为我们关心的重点,经以上分析证明,分量检定法是一种比较有效和方便的检测方法,能够为我们提供准确可靠的热量表。
关于产品选型、材料获取、商务技术合作,请随时与我们联系