基于超声波热量表的设计
供热节能已成为一个热点话题,其中供热计量更是大家所关注的焦点。近年来,热量计量装置在供热系统中得到初步的应用。但目前我国采用的热量表大 多是机械式热量表,存在使用寿命短、维修困难、与上位机通信不方便等问题,不适合大面积采用。超声波热量计量仪表较为合适,但我国超声波热量表的应用研究 还处于初级阶段,有待进一步的研究。本文设计了一种采用 MSP430 单片机和 TDC - GP2 为主体的超声波热量表,并从测量原理、硬件和软件方面进行了阐述。
1 时差法超声波流量测量原理
时差法超声波流量计(Transittimeultrasonicflow-meter),其工作原理如图 1 所示。它是利用一对超声波换能器相向交替(或同时)收发超声波,通过观测超声波在介质中的顺流和逆流传播时间差来间接测量流体的流速,再通过流速来计算流 量的一种间接测量方法。
图 1 中有两个超声波换能器:顺流换能器和逆流换能器,两只换能器分别安装在流体管线的两侧并相距一定距离,管线的内直径为 D,超声波行走的路径长度为 L, 超声波顺流时间为 tu, 逆流时间为 td, 超声波的传播方向与流体的流动方向夹角为 。由于流体流动的原因,使超声波顺流传播 L 长度的距离所用的时间比逆流传播所用的时间短,顺流和逆流时间可表示为:


式中:
c 为超声波在非流动介质中的声速;
V 为流体介质的流动速度。
经过数学推导可得:

式中 X 是两个换能器在管线方向上的间距。
由此可见,流体的流速与超声波顺流和逆流传播的时间差成正比。
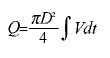
流量 Q 可以表示为:

2硬件设计
根据系统设计整体要求,按模块化的电路设计思想,本热量表的硬件系统以单片机和外围功能电路组成,硬件电路逻辑框图如图 2 所示。

2.1 MSP430 单片机
为了降低功耗,延长电池工作时间,拟选择超低功耗的 16 位 MSP430 单片机。
MSP430 系列单片机是一个 16 位的超低功耗单片机,采用了精简指令集(RISC)结构,具有丰富的寻址方式(7 种源操作数寻址、4 种目的操作数寻址)、简洁的 27 条内核指令以及大量的模拟指令;大量的寄存器以及片内数据存储器都可参加多种运算;高效的查表处理指令;较高的处理速度,在 8MHz 晶体驱动下指令周期为 125 ns。这些特点保证了可编制出高效率的源程序。
2.2 利用 TDC GP2 实现流量和温度采集
为减小超声波热量表的流量计量误差,降低热量表的成本,选用性能优越、价格较低的 TDC GP2。
TDC GP2 很适合低成本的超声波热量计设计。由于其良好的功能性(包括精确的温度测量, 触发脉冲产生器, 窗口和时钟校准器),加上一个简单的微处理器(不需要 A/D 转换)和一个传感驱动与接收器,可以构成一个完整的超声波热量计,极低的损耗电流保证在这些应用中电池具有较长的有效使用时间。
TDC GP2 可自动完成测量,微处理器只需发送一个开始命令,TDC GP2 就会自动触发传感器并测量飞行时间,计算出结果并传送给微处理器。
温度传感器采用 Ptl000 铂电阻,测量精度为0.01℃。在一定的温度范围内,铂电阻的电阻与温度成线性关系。由于其精度较高,只要准确地测量出其电阻,便能根据电阻—温度的线性关系得出对应的温度。
2.3 LCD 液晶显示模块
液晶显示器 LCD 可显示用热量、供热介质流量、供水温度、回水温度、热费、累计工作时间等相关信息。通过热量表面板上的按键可设置开始计时时间及选择相关信息等。
2.4 M BUS 总线
仪表总线 M BUS(欧洲标准 EN1434 3)是专为计量仪表数据传输而设计的,目前主要用于热计量领域,也可用于其他计量领域。主要特点如下:
(1)两线制总线,通常采用双绞线,没有正、负极性之分,施工布线简单;
(2)采用独特的电平特征传输数字信号,抗干扰能力强;
(3)总线供电,降低维护成本;
(4)总线型拓扑结构,扩展方便,组网成本低;
(5)主从式异步半双工传输,采用主叫/应答的通信方式,有专门设计的报文格式。
3 主程序设计
3.1 低功耗模式软件设置
MSP430 通过各种模块的智能化运行管理和 CPU的状态组合达到超低功耗的各种要求。一个中断事件可将系统从各种省电工作模式中唤醒,而 RETI 指令又使 MSP430 返回到中断事件发生前的工作模式。
另一种方式是从中断返回时中断服务程序将保存在堆栈中的 OSCoff、CPUoff、SCG0、SCG1 位清除,然后程序从 PC 所指的指令继续运行。程序大部分时间工作在低功耗模式 3(LPM3)的方式下,当存在温度采集,开阀、关阀和热能计算,Flash 读写要求时,通过中断进入活动模式(AM)。这样的设计最大限度保证了热量表的功耗在整体上保持一个较低的水平。
为了减少中断服务程序的执行时间,避免各个中断的冲突,采取了灵活的中断服务程序设计方法。如果中断服务程序要完成很复杂的处理 ,则在中断服务程序中设置标志,相应处理通过查询执行。而中断返回采用第二种返回方式,进入低功耗模式的下一条语句即查询语句,完成中断服务程序中应该完 成的功能。具体形式如下:
主程序:

3.2 热量表的软件整体流程图
热量表系统的软件设计思路主要贯彻了低功耗的要求。只有在流量脉冲到来或掉电时才使 CPU 处于活动状态,其它情况下 CPU 处于省电模式 3。其主要流程如图 3 所示。中断服务程序流程如图 4 所示。


4 结论
随着供热计量工作的推进,热量表将大量运用于实际工程中。本文设计的超声波热量表硬件电路简单,结构更加简洁可靠,也更方便了软件的升级与更新,同时具有功耗低、工作可靠、测量精度高的特点。
关于产品选型、材料获取、商务技术合作,请随时与我们联系