热量表准确度的整体检定方法和误差分析
0 前言
建设部《民用建筑节能管理规定》:“新建居住建筑的集中采暖系统应当使用双管系统,推行温度调节和户用热量计量装置,实行供热计量收费。”在我国,对一个家庭的年能源消耗费用而言,采暖费比电费、水费和煤气费的总和还要多,所以相对而言热量是更昂贵的能源消费。所以为保证供热计量收费的顺利实施,热量表的准确度必须符合要求。热量表的准确度检定是实施热量收费的一个重要环节,建立相应的准确度检定台就显得尤为重要。
1 热量表准确度的检定方法
目前世界各国采用的大都是分部检定的方法,即在热量表准确度检定时,分别对热量表的三个组成部分:流量传感器、温度传感器和计算器等分别进行检定,然后根据误差分析理论合成热量测量的准确度。热量表准确度整体检定法是把热量表作为一个整体进行检测,而不是对流量传感器、温度传感器和计算器分别进行检定。如图1所示,根据能量守恒,通过电测法来实现。其中,电加热器D负责提供能量,电能表B记录电能,被加热的水在水泵H的驱动下,经过待测热量表F进入散热装置G散热降温,降温后的水又经过待测热量表F回到绝热水箱C。

在这一循环过程中,待检热量表的准确计量值由下式确定:
![]()
式中,Q为通过散热装置所散出的热量,即热量表的真值;E为电加热器输入电能;D为热量表准确度检定前后水箱及其内部水的内能变化; Q1为加热水箱、水箱至热量表间管路的漏热损失。
E可以用1‰或准确度更高的电能表测定。所以在上式三项数值中,只要能准确测量出漏热损失和水箱内水的内能变化,就可以准确的知道散热装置所散发的热量。热量表的读数实际上反映了散热装置所散发的热量。如果对散热装置所散发的热量Q计量准确,则可得到热量表的最大误差值Φ:

从式(1)中可知,用整体检定法得到较准确的Q值,必须准确测定系统漏热和内能变化。
2 漏热测量的实验方法和误差分析
漏热测量的基本方法就是首先计算水箱的漏热系数,然后根据检测过程中的水箱内水温和外界环境温度,按照稳态导热计算漏热量。这其中的关键问题就是漏热系统的测量,以及按照稳态导热计算漏热量所造成的误差。
2·1 漏热系数测量的原理和方法
维持加热水箱的功率恒定,连续监测水箱内外温度。当水箱内外温差的变化在两个小时内小于0·3℃时,可认为系统已经达到热平衡稳定状态,这时水箱的加热量q等于漏热量。根据温差和投入热量由式(3)得到漏热系数K。

图2显示了恒定投入热量并在实验达到热平衡,即水箱内水和周围环境的温差波动范围小于±0·3℃后5个小时内的情况。

改变投入的热量,依次得到不同的稳定热平衡状况,从而求出水箱的漏热系数。根据多次测定,确定其漏热系数为:0·451W/℃。当水箱内水温为94℃左右,室内温度在26℃,其水箱漏热量为30·7W。
2·2 漏热系数测量的误差分析
漏热系数的测量误差来自三个方面:(1)电网波动造成的电能测量误差;(2)环境温度的变化造成的水箱漏热系数的测量误差;(3)热电阻的测温误差。
2·2·1 电网波动造成的电能测量误差
电网电压随时波动,这种波动使得输入的电能不能真正恒定,传热过程将无法实现稳态传热。为了维持电压稳定,尽量减少电网电压波动对实验的影响。电加热器前设置稳压电源(220±2V)。在调压器设定输出功率值为30W时,经过多次24小时连续监测,电网电压波动引起的输入功率在29·8W~30·2W之间波动,故功率测量的相对误差
![]()
2·2·2 环境温度对测量的影响
建立换热模型,根据实际测量环境温度分别约为25℃和8℃时计算得出漏热系数,环境温度变化引起漏热系数测量误差为1·49%。
2·2·3 热电阻的测温误差
漏热系数实验中,需要计算加热水箱内的温度和环境温度的温度差Δtl。这部分的测量误差集中在热电阻的仪器准确度上。检定实验用温度计,取其最大误差为0·78%。
2·2·4 漏热系数测量的综合误差
由漏热系数计算式(3),根据误差传递,可以得出漏热系数K的相对误差

2·3 按稳态导热计算所导致的误差
在热量表准确度整体法检定过程中,水箱漏热的传热过程是非稳态传热问题。某一时刻的漏热按照稳态导热式(6)计算,然后对某一时段(0~τ)的漏热进行积分得到这段时间的漏热量。这样用稳态导热描述非稳态导热所造成的误差是计算方法误差。

用数值分析方法编制Matlab程序进行非稳态导热计算。将水箱漏热的过程看成圆柱体沿半径方向的一维非稳态导热问题。按照有限差分的方法,在时间和半径方向尽量细分,使得计算结果尽量逼近真实的非稳态导热情况。将计算结果与按照稳态导热的结果进行比较,实验中将整体的传热过程视作稳态导热造成的计算结果与按照实际的非稳态导热计算的误差小于1·7%。根据以上分析可以得出漏热量测定的总体误差。

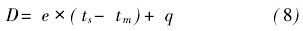
3 热容测量的实验方法和误差分析
热量表测定过程前后,水和箱体的内能发生相应的增加和减少。这部分的能量变化需要根据水、水箱检测开始和结束的温度,按照相应的热容实验得出。所以计算内能变化量的关键就是求出热容和水温的函数关系。

式中,D为工况运行前后内能的变化量,W.h;e为水和箱体的总热容,W.h/℃;q为箱体漏热量,W.h;ts为开始水温,℃;tm为结束水温,℃。
3·1 总热容的测定实验和数据分析
加热水箱内注满水后用恒定功率200W加热,电加热器前放置220±2V稳压电源以维持加热功率恒定。系统起动运行3~4小时后,维持加热器工作,以保持水温恒定。记录测定过程开始和结束的水温以及总共消耗的电能。再根据稳定工况下水箱内各个点的温度就可以确定相应温度下水和水箱的总热容。

从试验数值可以看出水箱和水的总热容不是一个常数,是随温度而变的函数,根据实验数据作二次曲线拟合,从而得出总热容与温度的函数式为:

图3显示了拟合与测试数据的相关情况,相关系数为0·9376。实际测量和拟合公式(10)之中,误差最大的为2·79%。

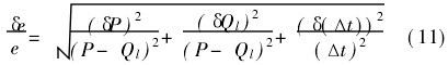
3·2 总热容测试的误差分析

由于q值较小,可将式(11)放大为式(12)进行计算

![]()
3·3 内能测定的总体误差分析
由误差传递公式可得,内能计算的相对误差

4 检定台整体误差分析
热量表整体检定的一个优势就是可以模拟冬季实际运行的情况来考验热量表在接近真实情况下的准确度。以北京为例,一套建筑面积100m2的住房,设计外温(-9℃)和设计室内温度为18℃条件下,设计负荷为54W/m2,则需要投入的总能量E为267·66MJ。可以通过24小时的试验来模拟一个冬季的实际运行情况,模拟工况如表4。

从漏热实验中可以知道,水温在93℃左右的时候,漏热在30W左右。为了简化问题,取最不利条件,即每个工况下水箱都耗能30·9W,则漏热量和总投入的能量之间的关系就是:
![]()
从热容实验可以计算出来。当实验开始和结束水温变化在5℃之内,其内能变化和总投入能量之间的关系有如下的关系:
![]()
扣除漏热和内能的变化,热量表的理论真值Q所占投入能量的份额可从下式得出:

考虑到导线电阻对电能测量的影响后,可以得出电能的测量误差

5 结论
整体检定中的误差来源主要是内能和漏热的测定。处理办法一个是提高两种能量的测定精度,另一个是加强加热水箱保温并使检定起始和停止水的状态尽量接近,以尽量减少这两个部分能量在总能量投入中所占的份额。在检定过程中,经过以上处理,基本上可以将上面两部分能量降低到总体投入能量的1·5%以内,从而大大提高检定台的准确度。
整体检定方法检定过程中,没有必要去关心热量表每一组成部分的准确度,因为最终需要的是热量表的总体误差,所以只要热量表的整体误差满足要求就可以。与各部件分项检定相比,省去了许多中间过程,操作简便、检定周期短,误差数值直观,无须再去合成求总体的误差。再有其检定结果比各部件分项检定要准确的多,其读数就是热量表的真实误差,只要检定台的准确度足够高,这个数值就会很准确。
检定过程直接迅速,检定台成本低,适合于批量的出厂检定。另外,整体检定可以检定无法分体的紧凑型热表,可以模拟冬季实际运行工况测试热表,特点突出。
关于产品选型、材料获取、商务技术合作,请随时与我们联系